模块化随钻电磁波测井仪器结构对测量信号的影响

Influence of Structure of Modular Electromagnetic Logging While Drilling Instrument on Measurement Signals

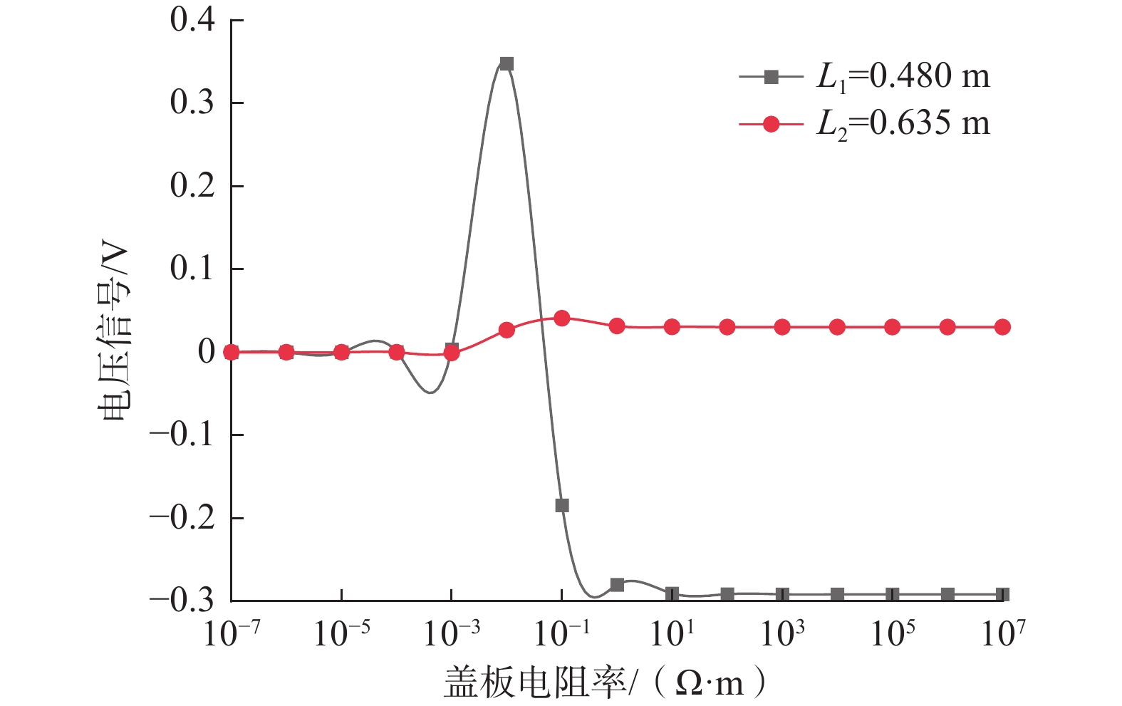
  • 摘要: 常规的随钻电磁波测井是一种重要的地层流体评价方法,但其不具有方位特性。为此,提出了一种具有较好方位探测特性的新型模块化随钻电磁波测井仪器结构。为准确了解模块化随钻电磁波测井仪器结构对测量电压信号的影响情况,采用有限元法建立了三维模型,探究了仪器各部分的影响规律。研究得出:随着钻铤和天线槽填充物电阻率增大,接收电压信号出现了突变区间且与仪器的频率和几何尺寸密切相关;盖板材料的电阻率对接收信号强度的影响较大,盖板应选择电阻率比金属稍低的材料,而测量信号随传感器本体电阻率增大而增大,因此传感器本体应选择非金属材料;钻铤和填充物的电阻率较小时,接收电压信号有明显的衰减,填充物电阻率较大时其影响可以忽略;通过扣除空气介质中的仪器响应,可以较好地消除仪器结构的影响,扣除仪器结构影响后线圈中磁通量减小,导致仪器信号低于扣除前。该研究结果可为实际测井仪器的设计制造提供理论依据。

     

    Abstract: Conventional electromagnetic logging while drilling is an important method for evaluating stratigraphic fluids, but it does not have azimuth property. In this paper, a new modular electromagnetic logging while drilling instrument was proposed with good azimuth detection property. In order to accurately understand the influence of modular electromagnetic logging while drilling instrument on the measured voltage signal, a 3D model was established using the finite element method, and the influence laws of various instrument parts were explored. The results show that with the increased resistivity of the drill collar and antenna slot filling material, the received voltage signal has a sudden change, which is closely related to the frequency and geometric size of the instrument. The resistivity of the cover plate material has a great influence on the intensity of the received signal, and the cover plate should be selected with a little lower resistivity than metal. The measurement signal increases with the increasing resistivity of the sensor body, so the non-metallic material should be selected as the sensor body. When the resistivity of the instrument structure such as drill collar and filling material is low, the received voltage signal has obvious attenuation, and its influence can be ignored when the resistivity of the filling material is high. By deducting the instrument response in the air medium, the influence of the instrument structure can be well eliminated. After deducting the influence of the instrument structure, the magnetic flux in the coil decreases, resulting in a smaller instrument signal than before. The research results can provide a theoretical basis for the design and manufacture of actual logging instruments.

     

/

返回文章
返回