抗高温隔离膜缓速酸液体系研制与性能评价

Development and Performance Evaluation of a High Temperature-Resistant Isolation Membrane Retarded Acid Solution System

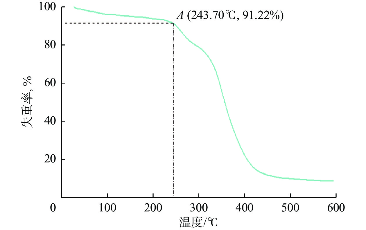
  • 摘要: 为了解决碳酸盐岩储层酸压改造时存在的酸液黏度过高、泵注排量低等问题,以丙烯酰胺(AM)、2-丙烯酰胺基-2-甲基丙磺酸(AMPS)和含氟单体(ZTA)为单体,采用自由基水溶液聚合方法合成了隔离膜高温缓速剂;以AM、AMPS和甲基丙烯酰氧乙基三甲基氯化铵(DMC)为单体,采用反相乳液聚合法合成了耐酸降阻剂。隔离膜缓速剂和降阻剂的红外、热重和XRD衍射分析测试结果表明符合分子结构设计,热分解温度分别为209.13和243.70 ℃。通过优化隔离膜缓速剂和耐酸降阻剂的加量和测试配伍性,形成了抗高温隔离膜缓速酸液体系,其黏度小于5 mPa·s;在140 ℃温度下,用20%盐酸配制隔离膜缓速酸液体系的酸岩反应速率为4.31 μmol/(cm2·s),比胶凝酸体系降低了34.8%,用15%盐酸配制隔离膜缓速酸液体系的降阻率为62.7%。研究结果表明,抗高温隔离膜缓速酸液体系的缓速和降阻性能良好,适用于塔河油田酸压酸化。

     

    Abstract: In order to solve the problems of high viscosity of acid solution and low pump displacement in acid fracturing stimulation of carbonate reservoirs, the isolation membrane retarder for high temperatures was synthesized by free radical aqueous polymerization with acrylamide (AM), 2-acrylamido-2-methylpropane sulfonic acid (AMPS), and fluorine-containing monomer (ZTA) as monomers. An acid-resistant drag reducer was prepared by inverse emulsion polymerization, with AM, AMPS, and methacryloyloxyethyl trimethylammonium chloride (DMC) as monomers. The results of infrared, thermogravimetric, and X-ray diffraction (XRD) analysis of the isolation membrane retarder and drag reducer showed that they conformed to the molecular structure design, and their thermal decomposition temperatures were 209.13 °C and 243.70 °C, respectively. A retarded acid solution system with a high temperature-resistant isolation membrane was formed through compatibility testing and optimization on the concentration of isolation membrane retarder and acid-resistant drag reducer. The viscosity of the acid solution system was less than 5 mPa·s. In a 20% hydrochloric acid system, the average acid rock reaction rate was 4.31 μmol/(cm2·s) at 140 °C, which was 34.8% lower than the gelled acid system, and a drag reduction rate of the acid solution system (15% hydrochloric acid) was 62.7%. The results showed that the developed retarded acid solution system with high temperature-resistant isolation membrane resulted in good retarding and drag reduction performance and could be used for acid fracturing and acidizing in Tahe Oilfield.

     

/

返回文章
返回