2. 中石化中原石油工程有限公司塔里木分公司, 新疆库尔勒 841000
2. Tarim Drilling Company, Sinopec Zhongyuan Oilfield Service Corporation, Korla, Xinjiang, 841000, China
无固相钻井液是在低固相钻井液的基础上发展起来的[1-4],其原始组分不包含黏土,主要成分为高分子聚合物和盐,从而可以消除黏土矿物对地层造成的损害[5-9]。目前,无固相钻井液多采用改性纤维、黄原胶、聚丙烯酰胺类聚合物作为增黏剂,选择具有一定局限性,虽然常温条件下该类增黏剂增黏效果显著,但在高温条件下(一般超过130 ℃)易降解,其重要原因在于构建无固相钻井液的高分子聚合物类处理剂在高温条件下会出现热降解而失效,主要表现在高温降黏降切、悬浮能力减弱、抗盐污染能力和抑制性降低等方面[10-13]。目前,抗温能力更强的无固相钻井液多处于室内研究中[14-15],尚未进行现场应用。
疏水缔合聚合物是一种在亲水性聚合物大分子链上引入少量疏水基团的水溶性聚合物,在临界缔合浓度以上,分子间可以通过疏水缔合作用形成可逆的空间网络结构,在性能上表现出优于普通水溶性聚合物的悬浮稳定性、流变性和抗温性等[16-19]。为此,笔者选用两性离子型疏水缔合聚合物PL-5作为无固相钻井液的主处理剂,并配以常规抗高温类钻井液处理剂(包括降滤失剂、油层保护剂和抑制剂),配制了抗高温疏水缔合聚合物无固相钻井液,并对其进行了室内性能评价和现场试验。
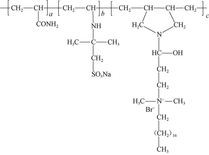
1 钻井液配方及性能评价方法 1.1 主要试剂与试验仪器 1.1.1 主要试剂主要试剂为两性离子型疏水缔合聚合物(PL-5)、NaOH、Na2CO3、高温交联剂(FPA)、降滤失剂(DKFC)和聚胺(UHIB)。其中,合成PL-5的各反应单体的物质的量比为a:b:c=0.45:0.45:0.10,PL-5的分子结构式如图 1所示。
|
| 图 1 聚合物PL-5的分子结构式 Fig.1 Molecular structural formula of polymer PL-5 |
主要试验仪器包括:ZNN-D6型六速旋转黏度计,FANN Series 300六联滤失仪,XQRL-4高温滚子加热炉,OFI高温高压钻井液滤失仪,YM-2型液体密度计,ZDY50-180型流动试验仪,Nanoscope IIIa型原子力显微镜(AFM)和FEI Quanta 450型环境扫描电镜(ESEM)。
1.2 钻井液的配制抗高温疏水缔合聚合物无固相钻井液的配方为:清水+2.00%PL-5+0.10%NaOH+0.15%Na2CO3+1.00%FPA+2.00%DKFC+0.30%UHIB。配制好抗高温疏水缔合聚合物无固相钻井液后,将其高速搅拌5.0 min,在常温下养护24 h。
1.3 钻井液流变性与滤失性测试把养护好的抗高温疏水缔合聚合物无固相钻井液在高温老化前后分别移入高速搅拌机中,高速搅拌10 min,按照文献[20]给出的程序和步骤测试该钻井液的表观黏度、塑性黏度和动切力,用钻井液滤失仪测定该钻井液的常温中压滤失量,用高温高压滤失仪测定该钻井液老化前后的高温高压滤失量。
1.4 悬浮稳定性评价将抗高温疏水缔合聚合物无固相钻井液样品分为3份,用铁矿石粉将其密度分别调整为1.60,1.80和2.00 kg/L,放入老化罐中,在不同温度下老化16 h,冷却至室温,放入量筒中静置12 h,选取量筒上部1/5以上和量筒下部1/5以下胶液各1份,用液体密度计分别测定其密度,并计算上下部密度差。
1.5 微观结构分析将抗高温疏水缔合聚合物无固相钻井液放入老化罐中,在160 ℃下老化16 h,然后冷却至室温。取该钻井液滴至云母片新揭开的一面,静置30 min,待溶剂挥发后,使用AFM观测高温老化后构建该钻井液液相聚合物的微观形貌;另外,取高温老化后的该钻井液,使用ESEM对构建该钻井液液相聚合物的微观形貌进行观测。
1.6 抑制性能评价在抗高温疏水缔合聚合物无固相钻井液样品中加入50 g (6~10目) WZ12-1油田WZ12-1-5井泥页岩段的钻屑,置于老化罐中,不同温度下滚动老化16 h后过40目筛,将筛余在105 ℃下烘干后称重,计算热滚后泥页岩钻屑的一次回收率;将一次回收的筛余重新置于老化罐中,在160 ℃条件下滚动老化16 h后过40目筛,将筛余在105 ℃下烘干后称重,计算热滚后泥页岩钻屑的二次回收率。
1.7 储层保护性评价根据石油天然气行业标准《岩心常规分析方法》(SY/T 5336-2006)和《钻完井液损害油层室内评价方法》(SY/T 6540-2002)中给出的测试方法,采用WZ12-1油田WZ12-1-4井2 886.17~2 894.15 m井段的岩心进行静态渗透率恢复试验,用以评价抗高温疏水缔合聚合物无固相钻井液的储层保护性能。
2 试验结果及讨论 2.1 流变性和滤失性评价 2.1.1 老化温度的影响抗高温疏水缔合聚合物无固相钻井液在不同老化温度下老化16 h后的流变性与滤失性测试结果如表 1所示。
| 老化温度/℃ | 表观黏度/ (mPa·s) |
塑性黏度/ (mPa·s) |
动切力/Pa | 动塑比 | 静切力/Pa | 常温中压 滤失量/mL |
高温高压 滤失量/mL |
|
| 初切 | 终切 | |||||||
| 常温 | 40.5 | 23.5 | 17.5 | 0.74 | 8.0 | 17.5 | 3.0 | 6.0 |
| 100 | 38.5 | 24.0 | 14.5 | 0.60 | 7.0 | 17.0 | 3.2 | 8.4 |
| 120 | 37.0 | 23.0 | 14.0 | 0.61 | 7.0 | 15.5 | 3.2 | 9.8 |
| 140 | 34.5 | 21.5 | 13.0 | 0.60 | 6.5 | 14.0 | 3.8 | 11.2 |
| 160 | 28.5 | 19.0 | 9.5 | 0.50 | 4.0 | 12.0 | 4.8 | 14.0 |
| 180 | 14.5 | 12.5 | 2.0 | 0.16 | 0 | 2.0 | 8.4 | 46.0 |
从表 1可以看出,当老化温度不高于160 ℃时,随着老化温度升高,抗高温疏水缔合聚合物无固相钻井液的各流变参数均呈现逐渐下降的趋势,动塑比均保持在0.5以上;而当老化温度达到180 ℃时,其动塑比降为0.16,不能满足水平井对钻井液动塑比必须大于0.3的技术要求,说明该钻井液经180 ℃高温作用后流变性变差,携岩能力减弱,不利于井眼清洁。
从表 1还可以看出,随着老化温度升高,抗高温疏水缔合聚合物无固相钻井液的常温中压滤失量从3.2 mL增至8.4 mL,高温高压滤失量从8.4 mL增至46.0 mL。钻井液滤失性能室内评价常用技术要求常温中压滤失量小于5.0 mL,高温高压滤失量小于15.0 mL,说明该钻井液经180 ℃高温作用后,滤失造壁性变差,不利于井壁稳定和储层保护,其根本原因在于该钻井液中的聚合物类处理剂在高温条件下发生了一定程度的热降解而失效。因此,该钻井液可以满足井底温度不大于160 ℃的钻井需要,具有良好的抗温性能。
2.1.2 老化时间的影响图 2、图 3和图 4分别为不同老化时间条件下抗高温疏水缔合聚合物无固相钻井液的表观黏度、动切力和常温中压滤失量测试结果。
|
| 图 2 抗高温疏水缔合聚合物无固相钻井液表观黏度随老化时间的变化曲线 Fig.2 The changes of apparent viscosity of a solid-free high temperature resistant hydrophobic association polymer drilling fluid with the aging time |
|
| 图 3 抗高温疏水缔合聚合物无固相钻井液动切力随老化时间的变化曲线 Fig.3 Changes of yield point of solid-free high temperature resistant hydrophobic association polymer drilling fluid with the aging time |
|
| 图 4 抗高温疏水缔合聚合物无固相钻井液常温中压滤失量随老化时间的变化曲线 Fig.4 Changes of API filtration loss of solid-free high temperature resistant hydrophobic association polymer drilling fluid with the aging time |
从图 2、图 3和图 4可以看出,在老化温度为140和160 ℃时,随着老化时间增长,抗高温疏水缔合聚合物无固相钻井液的表观黏度和动切力呈现出缓慢降低的趋势,常温中压滤失量呈现出缓慢增加的趋势,说明该钻井液经长时间高温作用后仍具有良好的流变性和滤失造壁性。
当老化温度为180 ℃时,随着老化时间增长,抗高温疏水缔合聚合物无固相钻井液的表观黏度和动切力下降趋势显著,流变性变差;常温中压滤失量增大趋势明显,滤失造壁性变差,其主要原因是构建无固相钻井液的高分子聚合物发生了高温降解。
以上试验结果表明,在不高于160 ℃的温度下,抗高温疏水缔合聚合物无固相钻井液中的高分子聚合物在经过长时间高温作用后仍保持稳定,分子链之间仍可相互缠绕形成稳固的空间网架结构,表现出优良的抗温性。
2.2 悬浮性能评价不同老化温度下抗高温疏水缔合聚合物无固相钻井液的悬浮性能测试结果如表 2所示。
| ρ/ (kg·L-1) |
老化条件 | ρu/ (kg·L-1) |
ρd/ (kg·L-1) |
Δρ/ (kg·L-1) |
| 1.60 | 140 ℃×16 h | 1.60 | 1.60 | 0 |
| 160 ℃×16 h | 1.60 | 1.61 | 0.01 | |
| 180 ℃×16 h | 1.59 | 1.65 | 0.06 | |
| 1.80 | 140 ℃×16 h | 1.80 | 1.80 | 0 |
| 160 ℃×16 h | 1.80 | 1.83 | 0.03 | |
| 180 ℃×16 h | 1.77 | 1.89 | 0.12 | |
| 2.00 | 140 ℃×16 h | 2.00 | 2.01 | 0.01 |
| 160 ℃×16 h | 1.97 | 2.04 | 0.07 | |
| 180 ℃×16 h | 1.92 | 2.10 | 0.18 | |
| 注:ρ为老化前疏水缔合型无固相钻井液的密度;ρu为量筒上部1/5以上钻井液的密度;ρd为量筒下部1/5以下钻井液的密度;Δρ为ρu和ρd之差。 | ||||
由表 2可知:在相同密度下,随着老化温度升高,Δρ不断增大;在相同老化温度下,随着密度增大,Δρ也呈现不断增大的趋势。
以上试验结果说明,在老化温度不高于140 ℃时,该钻井液具有极佳的悬浮稳定性;而在老化温度超过160 ℃时,该钻井液密度不宜超过1.80 kg/L。
2.3 微观形貌分析图 5和图 6分别为抗高温疏水缔合聚合物无固相钻井液中聚合物的AFM和ESEM扫描图。
|
| 图 5 抗高温疏水缔合聚合物无固相钻井液中聚合物的AFM照片 Fig.5 AFM images of polymer in of solid-free high temperature resistant hydrophobic association polymer drilling fluid |
|
| 图 6 抗高温疏水缔合聚合物无固相钻井液中聚合物的ESEM照片 Fig.6 ESEM images of polymer in of solid-free high temperature resistant hydrophobic association polymer drilling fluid |
从图 5和图 6可以看出,经高温作用后,抗高温疏水缔合聚合物无固相钻井液中的聚合物仍可以相互聚集并形成空间网状结构。这些网络结构由无数个多边形“网眼”和链接这些网眼的“节点”构成,其主要原因是该钻井液中聚合物分子链相互缠绕和在疏水缔合聚合物PL-5的疏水缔合作用下相互聚集成链束,相互联结成超分子聚集体,形成布满立体空间的三维立体网络结构,可以增强钻井液的高温稳定性和悬浮稳定性。
2.4 抑制性能评价在不同老化温度条件下,对WZ12-1-5井2 339.85~2 513.74和2 716.43~2 834.91 m井段泥岩岩屑在抗高温疏水缔合聚合物无固相钻井液中的滚动回收率进行了测试,结果见表 3。
| 滚动温度/℃ | 井段/m | R1,% | R2,% |
| 100 | 2 339.85~2 513.74 | 89.4 | 80.8 |
| 2 716.43~2 834.91 | 92.1 | 84.0 | |
| 120 | 2 339.85~2 513.74 | 89.2 | 80.0 |
| 2 716.43~2 834.91 | 92.1 | 82.9 | |
| 140 | 2 339.85~2 513.74 | 87.0 | 78.7 |
| 2 716.43~2 834.91 | 90.5 | 80.2 | |
| 160 | 2 339.85~2 513.74 | 60.1 | 41.9 |
| 2 716.43~2 834.91 | 87.2 | 77.5 | |
| 180 | 2 339.85~2 513.74 | 56.7 | 37.6 |
| 2 716.43~2 834.91 | 80.5 | 70.2 | |
| 注:R1为泥页岩钻屑的一次回收率;R2为泥页岩钻屑的二次回收率。 | |||
从表 3可以看出:当老化温度为140 ℃时,2个井段岩屑在抗高温疏水缔合聚合物无固相钻井液中的一次回收率分别达到了87.0%和90.5%,二次回收率分别达到了78.7%和80.2%,该钻井液表现出较强的抑制泥页岩水化分散的能力;当老化温度高于140 ℃时,2个井段岩屑的一次和二次回收率均有所下降,上部井段岩屑下降幅度较大;当老化温度为180 ℃时,2 339.85~2 513.74 m井段岩屑的一次和二次滚动回收率分别为56.7%和37.6%,该钻井液抑制泥页岩水化分散的能力明显降低。分析认为,这可能是由于该钻井液中的聚胺分子发生了一定程度的热降解,或者聚胺分子在高温下与黏土之间发生了解吸附作用,束缚泥页岩相邻片层结构的能力降低,使水分子更加容易进入泥页岩层间,从而导致泥页岩水化分散。
综合考虑上述不同高温老化条件下抗高温疏水缔合聚合物无固相钻井液的流变性和滤失性测试结果,认为该钻井液在井底温度不高于160 ℃的条件下具有良好的适用性。
2.5 储层保护性能评价采用WZ12-1-4井的2块油层岩心进行了渗透率恢复试验,对抗高温疏水缔合聚合物无固相钻井液的储层保护性能进行评价,结果见表 4。
| 岩心 | 孔隙度,% | K0/mD | Kd/mD | 渗透率恢复率,% |
| 1# | 13.51 | 5.35 | 4.77 | 89.16 |
| 1#截去1.0 cm | 5.04 | 94.21 | ||
| 2# | 19.20 | 10.85 | 8.95 | 82.49 |
| 2#截去1.0 cm | 10.21 | 94.10 | ||
| 注:K0为油层岩心的原始渗透率;Kd为油层岩心污染后的渗透率。 | ||||
从表 4可以看出,2块油层岩心的渗透率恢复率均达到了82%以上,岩心截去1.0 cm的污染段,其渗透率恢复率均达到94%以上,说明疏水缔合型无固相钻井液对油气层具有良好的保护作用。
3 现场试验抗高温疏水缔合聚合物无固相钻井液在DF1-1气田3口井进行了现场试验,成功解决了长裸眼水平井钻井中井壁稳定、井眼净化和油气层保护等问题,钻井施工正常、井眼畅通,完井管柱和生产管柱下入均安全顺利。下面以DF1-1-F7H井为例详述现场试验情况。
DF1-1-F7H井位于莺歌海盆地泥底辟构造带北部构造,完钻井深2 762.00 m,水平段长508.81 m。该井主要目的层为上新统莺歌海组二段,储层孔隙度为5.22%~6.71%,渗透率为0.81~1.83 mD,属于低孔低渗储层,井底温度157.0 ℃。储层主要含伊/蒙混层矿物、绿泥石、伊利石等敏感性矿物,存在潜在的敏感性和水锁伤害。为解决水平段钻井施工中携岩、润滑防卡和储层保护等问题,该井应用了抗高温疏水缔合聚合物无固相钻井液,其配方为1.5%~2.0%PL-5+0.10%~0.15%NaOH+0.10%~0.15% Na2CO3+1.0%~1.5% FPA+2.0%~2.5% DKFC+0.15%~0.30% UHIB+加重剂。水平段钻井液主要性能见表 5。
| 水平段长度/m | 井底温度/℃ | 密度/(kg·L-1) | 漏斗黏度/s | 滤失量/mL | 表观黏度/(mPa·s) | 塑性黏度/(mPa·s) | 动切力/Pa |
| 0 | 152.5 | 1.7 | 58 | 5.0 | 32 | 24 | 8 |
| 100 | 152.5 | 1.7 | 62 | 4.0 | 32 | 24 | 10 |
| 200 | 154.0 | 1.7 | 60 | 3.6 | 39 | 28 | 11 |
| 300 | 154.0 | 1.7 | 59 | 3.6 | 46 | 35 | 11 |
| 400 | 156.0 | 1.7 | 60 | 4.0 | 42 | 30 | 12 |
| 500 | 157.0 | 1.7 | 68 | 3.8 | 35 | 25 | 10 |
该钻井液在现场试验中取得了明显效果,具体表现为:
1) 机械钻速快。DF1-1-F7H井水平段平均机械钻速达到8.0 m/h,与邻井DF1-1-F9H井水平段(使用聚磺钻井液)平均机械钻速6.3 m/h相比,提高了26.98%。
2) 钻井液性能稳定。在钻进过程中,该钻井液的漏斗黏度稳定在58~68 s,动塑比大于0.3,起下钻顺利,无任何遇阻显示。
3) 井眼稳定。钻进过程顺利,岩屑棱角清晰,无松散的稀泥和掉块返出。
4) 储层保护效果良好。DF1-1-F7H井采用常规裸眼完井,试气获得475 692 m3/d的产量,与该区块气井平均产气量(396 175 m3/d)相比提高了20%。
现场试验表明,抗高温疏水缔合聚合物无固相钻井液具有良好的剪切稀释性、携岩性、悬浮性、抑制性和储层保护性能,可以在深井高温水平段钻井中应用。
4 结论1) 以疏水缔合聚合物PL-5为主剂,配制了抗高温疏水缔合聚合物无固相钻井液。室内试验结果表明,该钻井液经160 ℃高温作用后仍具有良好的流变性、滤失造壁性和悬浮稳定性。微观结构测试结果显示,以PL-5为主体的聚合物之间相互交联形成的空间网络结构对于提高钻井液的高温稳定性起到了积极作用。
2) 抗高温疏水缔合聚合物无固相钻井液具有较好的抑制黏土水化分散和保护储层的能力,能够满足水敏性储层钻进的技术要求。
3) 现场试验表明,抗高温疏水缔合聚合物无固相钻井液性能稳定,易维护处理,具有较强的剪切稀释性、携岩性、悬浮性和抑制性,能确保井眼畅通与井壁稳定,可满足高温水平井和大位移定向井钻井的需要。
| [1] |
乌效鸣, 胡郁乐, 贺冰新, 等.
钻井液与岩土工程浆液[M]. 武汉: 中国地质大学出版社 ,2002 : 122 -139.
WU Xiaoming, HU Yule, HE Bingxin, et al. Drilling fluid and mud in geotechnical engineering[M]. Wuhan: China University of Geosciences Press , 2002 : 122 -139. |
| [2] | MARTINS A L, WALDMANN A T A, RIBERIRO D D C, et al.Conceptual design of a non-invasive solids free drill in fluid[R].SPE 94287, 2005. |
| [3] | XIE S X, CHEN M, JIANG G C, et al. Study and application of weakly gelled shear strength-improving agent (GEL-30) for solids-free drilling fluid[J]. Petroleum Science & Technology , 2012, 30 (3) : 316–326. |
| [4] |
甄剑武, 王中华, 雷祖猛, 等.
水平井钻井液及储层保护[J]. 油田化学 , 2010, 27 (4) : 457–461, 456.
ZHEN Jianwu, WANG Zhonghua, LEI Zumeng, et al. Reservoir protection and fluids technology of horizontal drilling[J]. Oilfield Chemistry , 2010, 27 (4) : 457–461, 456. |
| [5] |
张丹阳, 耿晓光, 周大宇, 等.
无固相钻井液的室内实验研究[J]. 钻井液与完井液 , 2009, 26 (3) : 38–40.
ZHANG Danyang, GENG Xiaoguang, ZHOU Dayu, et al. Laboratory study on solids-free drilling fluids[J]. Drilling Fluid & Completion Fluid , 2009, 26 (3) : 38–40. |
| [6] | GAMAGE P, DEVILLE J P, SHERMAN J. Solids-free fluid-loss pill for high-temperature reservoirs[J]. SPE Drilling & Completion , 2014, 29 (1) : 125–130. |
| [7] |
北京奥凯立科技发展股份有限公司.一种无固相钻井液:201010172378.1[P].2011-01-26.
Beijing Oilchemleader Science & Technology Development Co., Ltd.A solid free drilling fluid:201010172378.1[P].2011-01-26. |
| [8] |
陈刚, 邓强, 张洁.
无固相钻井液体系的室内研究(Ⅱ)[J]. 石油化工应用 , 2010, 29 (2) : 22–26.
CHEN Gang, DENG Qiang, ZHANG Jie. The indoor research of solid free drilling fluids (Ⅱ)[J]. Petrochemical Industry Application , 2010, 29 (2) : 22–26. |
| [9] |
史凯娇, 徐同台.
甲酸铯/钾无固相钻井液和完井液研究[J]. 石油钻探技术 , 2011, 39 (2) : 73–76.
SHI Kaijiao, XU Tongtai. Reasearh on Cesium/Potassium soild-free drilling and completion fluids[J]. Petroleum Drilling Techniques , 2011, 39 (2) : 73–76. |
| [10] |
武学芹, 李公让, 李斌, 等.
胜利油田无固相抗高温钻井液体系的研究与应用[J]. 钻井液与完井液 , 2005, 22 (5) : 41–43.
WU Xueqin, LI Gongrang, LI Bin, et al. Study and application of the solids free and high temperature tolerant drilling fluid in Shengli Oilfield[J]. Drilling Fluid & Completion Fluid , 2005, 22 (5) : 41–43. |
| [11] |
张洁, 孙金声, 杨枝, 等.
抗高温无固相钻井液研究[J]. 石油钻采工艺 , 2011, 33 (4) : 45–47.
ZHANG Jie, SUN Jinsheng, YANG Zhi, et al. A solid free drilling fluid with high temperature resistance[J]. Oil Drilling & Production Technology , 2011, 33 (4) : 45–47. |
| [12] |
刘程, 李锐, 张光华, 等.
新型无固相钻井液体系研究新进展[J]. 天然气工业 , 2009, 29 (11) : 64–66.
LIU Cheng, LI Rui, ZHANG Guanghua, et al. New progress in the research into a new type of solid-free drilling fluid system[J]. Natural Gas Industry , 2009, 29 (11) : 64–66. |
| [13] |
许明标, 马双政, 韩金芳, 等.
抗高温无固相弱凝胶钻井液体系研究[J]. 油田化学 , 2012, 29 (2) : 142–145.
XU Mingbiao, MA Shuangzheng, HAN Jinfang, et al. Study on high temperature tolerant and solids free weak gelling drilling fluid[J]. Oilfield Chemistry , 2012, 29 (2) : 142–145. |
| [14] |
刘建军, 刘晓栋, 马学勤, 等.
抗高温耐盐增黏剂及其无固相钻井液体系研究[J]. 钻井液与完井液 , 2016, 33 (2) : 5–11.
LIU Jianjun, LIU Xiaodong, MA Xueqin, et al. Study on high temperature salt-resistant viscosifier and the formulated solids-free drilling fluid[J]. Drilling Fluid & Completion Fluid , 2016, 33 (2) : 5–11. |
| [15] |
万芬, 王昌军.
抗高温无黏土相钻井液体系研究[J]. 石油天然气学报 , 2014, 36 (4) : 140–142.
WAN Fen, WANG Changjun. Study on a high-temperature resistant and clay free drilling fluid[J]. Journal of Oil and Gas Technology , 2014, 36 (4) : 140–142. |
| [16] |
戴姗姗, 蔡馨.
一种疏水缔合型阳离子聚合物酸液稠化剂的合成及性能[J]. 精细化工 , 2013, 30 (5) : 575–579.
DAI Shanshan, CAI Xin. Synthesis and evaluation of a hydrophobically associating cationic polymer as acid thickener[J]. Fine Chemicals , 2013, 30 (5) : 575–579. |
| [17] |
张德富, 卢祥国, 李强, 等.
缔合程度对疏水缔合聚合物增黏性和抗剪切性影响研究[J]. 西安石油大学学报(自然科学版) , 2015, 30 (2) : 93–97.
ZHANG Defu, LU Xiangguo, LI Qiang, et al. Effects of association degree on viscosity increasing and shearing resistance performance of hydrophobic associated polymer[J]. Journal of Xi'an Shiyou University (Natural Science Edition) , 2015, 30 (2) : 93–97. |
| [18] |
谢彬强, 郑力会.
基于疏水缔合聚合物的新型钻井液封堵剂[J]. 石油钻采工艺 , 2015, 37 (5) : 41–45.
XIE Binqiang, ZHENG Lihui. A new type plugging agent for drilling fluid based on hydrophobic associative polymer[J]. Drilling & Production Technology , 2015, 37 (5) : 41–45. |
| [19] |
蒋玲玲, 罗平亚, 陈馥, 等.
疏水缔合聚合物在高密度钻井液中的应用研究[J]. 钻井液与完井液 , 2005, 22 (4) : 5–7.
JIANG Lingling, LUO Pingya, CHEN Fu, et al. Application and research of a novel polymer in high density drilling fluid[J]. Drilling Fluid & Completion Fluld , 2005, 22 (4) : 5–7. |
| [20] |
鄢捷年.
钻井液工艺学[M]. 东营: 石油大学出版社 ,2001 : 63 -104.
YAN Jienian. Drilling fluid technology[M]. Dongying: Petroleum University Press , 2001 : 63 -104. |


