延川南煤层气田位于鄂尔多斯盆地东南缘,煤层气藏具有低压(压力系数小于0.8)、低含气饱和度(小于70%)和低渗透率的特征,且非均质性强[1]。该煤层气田单井产气量一般为600~800 m3/d[2],需要采取增产措施才能达到工业开采的要求。水力压裂是煤层气增产的首选方法,也是延川南区块的主要增产措施。由于我国含煤地层一般都经历了成煤后的强烈构造运动,煤层的原始结构往往遭到很大破坏,塑性大大增强,导致水力压裂时既不能进一步扩展原有的裂隙和割理,也不能产生新的较长的水力裂缝,影响改造效果。为增大压裂改造面积,提高产气效果,引入了V形水平井。煤层气V形水平井组是由2口水平井与1口直井组成的新型水平连通井组,2口水平井与直井连通后,由水平井提供泄流通道,直井进行排采生产,具有增大有效供给范围、提高单井产量等优点[3]。目前,国内外有关煤层气V形水平井组压裂技术的研究相对较少。笔者通过理论研究,初步形成了延川南煤层气V形水平井分段压裂技术,并在3组V形水平井组进行了成功应用,为延川南煤层气田高效开发提供了有效的技术支撑。
1 V形水平井组分段压裂改造思路1) 依据煤层厚度及2口水平井水平段的埋深与夹角设计裂缝位置及裂缝长度,防止裂缝对穿。
2) V形水平井组中,近连通部分的水平段相距较近,为避免压裂施工时相互影响,靠近排采井100.00 m附近时应选择加密射孔不压裂,并控制第一段的压裂规模。
3) 为增大裂缝波及体积、提高产气量,在远离排采井端处应加大压裂规模。
4) 根据2口水平井的夹角,V形水平井组压裂规模由趾端到根部应逐渐加大。
2 分段压裂工艺 2.1 裂缝方位预测延川南煤层气田已压裂气井的裂缝方位监测结果显示,裂缝方位角在69.0°~114.0°之间,平均为92.1°。从该气田裂缝方位监测玫瑰花综合图(图 1)可以看出,人工裂缝延伸方位以北西西向和北东东为主,整体呈近东西向。延5-V1井组4口邻井的压裂施工资料统计结果表明,4口邻井的裂缝方位在北东76°~98°。由于延5-V1-P1井和延5-V1-P2井的水平段方位分别为198.8°和246.0°,根据裂缝的极限方位可知:延5-V1井组的2口水平井压裂后将产生斜交缝,裂缝与延5-V1-P1井的夹角大,井筒周围裂缝弯曲率小,施工压力相对要小;裂缝与延5-V1-P2井的夹角小,压裂过程中易产生裂缝扭曲,砂堵风险相对较高,施工压力高。
|
| 图1 延川南煤层气田裂缝方位监测玫瑰花综合图 Fig.1 Rose diagram of fracture azimuth monitoring in Yanchuannan CBM Field |
煤层气藏压裂一般要求排量达到8 m3/min,延川南煤层气藏埋深在600.00~1 400.00 m,气井水平段长度约为600.00 m,套管长度为1 200.00~2 000.00 m,根据文献[4]中的方法计算延川南煤层气井采用不同分段压裂工艺时的井口压力,结果见表 1。
| 压裂工艺 | 压裂管柱外径/mm | 不同套管长度时的井口压力/MPa | ||
| 1 200 m | 1 600 m | 2 000 m | ||
| 复合桥塞 | 139.7 | 20.2 | 24.6 | 29.0 |
| 裸眼封隔器滑套 | 139.7 | 20.2 | 24.6 | 29.0 |
| 114.3 | 26.7 | 33.2 | 39.8 | |
| 双封单卡 | 88.9 | 52.6 | 67.8 | 83.0 |
| 环空封隔器 | 73.0~139.7 | 38.2 | 48.6 | 59.0 |
| 注:压裂排量为8 m3/min。 | ||||
由表 1可知,延川南煤层气藏采用139.7 mm压裂管柱,复合桥塞和裸眼封隔器滑套分段压裂时井口压力较低,但裸眼封隔器滑套分段压裂存在裂缝起裂点难以控制、水力喷射摩阻高、不能满足大排量施工要求的缺点。根据不同分段压裂工艺的优缺点(见表 2)及延南气田V形水平井组的完井方式均为套管固井的实际情况,并借鉴北美地区的成功经验,选用桥塞/射孔联作方式进行分段压裂。
| 分段压裂工艺 | 优点 | 缺点 |
| 桥塞/射孔联作 | 工艺成熟;风险低;可用于高温高压大排量;桥塞钻除后留下全井筒 | 配套作业等待时间较长;需连续油管和电缆待命;需过顶替 |
| 滑套/封隔器 | 压裂施工周期较短;可以不用固井;井壁自然裂缝不受破坏 | 不能精确控制裂缝位置;不能验封;不能用于不稳定井眼;砂堵时难处理 |
| 水力喷射/压裂 | 作业周期短;压裂作业控制灵活;施工风险小;适用于筛管完井 | 不适用深井压裂;该工艺刚刚投入市场;作业经验缺乏 |
选用活性水、2.0%KCl溶液、冻胶破胶液、0.5%清洁压裂液和0.8%清洁压裂液进行人工煤样伤害试验,结果见图 2。
|
| 图2 不同液体对煤样的伤害率 Fig.2 Damage rate of coal core with different liquids |
由图 2可知,冻胶破胶液对人工煤样的伤害率高达41%以上,活性水和KCl溶液对煤样的伤害率相差不大,约为12%。这说明冻胶对煤层的伤害率较大,不适合作为煤层压裂改造的压裂液。由于延川南煤层压力系数约为0.45,且V形水平井组采用泵送桥塞压裂工艺,压裂段数多,压裂后需要钻塞,施工周期长,压裂液不易于返排。因此V形水平井组压裂时选择对煤层伤害小的活性水[5]。
3.2 支撑剂与油井压裂不同的是,煤层破裂后,在水流和砂粒的冲刷下会产生大量粒度不等的煤粉[6],煤粉在产气通道内填充沉积,不仅使煤储层整体压降程度变小,而且使煤层气的有效解析面积变小,进而影响煤层气产能。为分析煤粉对各种支撑剂导流能力的损害情况,在20 MPa闭合压力下对不同支撑剂加入3%煤粉前后的导流能力进行了测试[7],结果见图 3。
|
| 图3 不同支撑剂加入3%煤粉前后在20 MPa闭合压力下的导流能力 Fig.3 Flow conductivity of proppants under closed pressure 20 MPa before and after adding 3% pulverized coal |
由图 3可知,20 MPa闭合压力下,加入煤粉前,不同支撑剂的导流能力从大到小的顺序为陶粒、16/20目石英砂、20/40目覆膜砂和20/40目石英砂。延5-V1井组地层闭合压力为18 MPa,对支撑剂的强度要求不高,同时为降低作业成本,选择石英砂作为煤层压裂的支撑剂。
对支撑剂粒径组合进行优化,实现降低压裂液滤失量、支撑微裂缝、增加主裂缝铺砂浓度、在近井眼区域获得高导流裂缝的目标。因此,V形水平井组压裂采用变密度方法加入支撑剂,在泵注开始时加入40/70目石英砂,中后期加入20/40目石英砂,尾追16/20目石英砂。
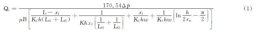
4 压裂参数的优化 4.1 裂缝数量基于位势理论和叠加原理,考虑煤层的非均质性、裂缝穿透储层、裂缝条数等影响因素,建立煤层气水平井压裂产能计算模型。
每条裂缝的产能[8]为:
则煤层气压裂水平井的产能为:
式中:Qi为第i条裂缝的产能,m3/d;Q为水平井的产量,m3/d;K为储层渗透率,mD;Kf为裂缝的渗透率,mD;h为煤层厚度,m;Δp为生产压差,MPa;L为泄气外边界到井筒的距离,m;μ为气体黏度,mPa·s;B为气体的体积系数;Lf为裂缝半长,m;w为裂缝的宽度,m;Lf1为所研究的裂缝与其左侧裂缝之间距离的1/2,m;Lf2为所研究的裂缝与其右侧裂缝之间距离的1/2,m;rw为水平井筒半径,m;xf为裂缝高度,m。
以延5-V1-P1井600.00 m长的水平段为例,计算裂缝数量与煤层气水平井产量的关系,结果如图 4所示。
|
| 图4 煤层气水平井产量与裂缝数量的关系 Fig.4 Relationship between the production and the number of fractures in a horizontal CBM well |
从图 4可以看出,煤层气水平井产量随裂缝数量增多而增大,但当裂缝数量超过6条后,产量增大速度变缓。因此,综合考虑施工难度和施工成本,认为延5-V1-P1井压裂5~6条裂缝为佳。
4.2 裂缝长度随着水力裂缝长度增加,煤层气水平井累计产量也随之增大。由于煤层基质渗透率极低,相同裂缝数量的水平井,裂缝长度增加1倍,产量近似提高1倍。但当裂缝长度增大到一定程度后,产量增幅变小,即存在一个相对最优的裂缝长度,煤层气井压裂的最佳裂缝长度为100.00~150.00 m[9]。对于V形水平井组,应使两水平井的裂缝“交错排列”,以免发生裂缝对穿,同时压裂前两段时应尽量控制压裂规模,防止裂缝过度延伸至另一口水平井的水平段,影响压裂效果及后期产量。延5-V1井组2口水平井水平段的夹角为42°,取裂缝极限方位76°~98°,当压裂位置距排采井100.00 m时,裂缝半缝长应控制在75.00~90.00 m;当压裂位置距排采井200.00 m时,裂缝半缝长应控制在150.00~180.00 m。
4.3 加砂规模优化加砂规模是压裂设计的重要环节,加砂规模对压裂效果起着决定性的作用。通过软件模拟出不同加砂规模下的裂缝长度,再根据优化的裂缝长度结合工区内相关地质数据及测井资料确定水平井每段的加砂规模。
4.4 射孔参数射孔位置可根据水平段测录井资料进行选择,其原则是:1) 选择气测显示较好的部位;2) 选择天然裂缝发育的部位;3) 选择孔隙度、渗透率高的部位;4) 由于近连通部分的水平段相距较近,因此排采井附近的水平段不压裂,只进行加密射孔[10]。
延川南煤层气田设计采用活性水作为压裂液,由于活性水的携砂能力较差,因此V形井组两口水平井采用单级射孔,每段射开3.00 m左右。为降低孔眼摩阻,减少近井裂缝扭曲,采用12.7 mm射孔弹,孔密为16孔/m,相位角为60°。靠近排采井段不压裂的部分进行加密射孔,孔密为32孔/m,以增大渗流面积,解除近井地带堵塞,提高产能。
4.5 施工排量由于煤层中天然裂缝发育,如果施工排量过高,井底净压力升高,会压开煤层中的天然裂缝,使流体滤失面积增大,造成压裂液大量滤失;如果施工排量过低,不能平衡压裂液在裂缝中的滤失,则会出现脱砂现象,甚至发生砂堵事故。可见,施工排量过高或过低均会对压裂施工造成不利影响。因此,煤层压裂存在最优施工排量,既能平衡煤层中压裂液的滤失,又不能过多地压开煤层中的天然裂缝。一般情况下,注入煤层的最优压裂液体积等于压裂液在煤层中的滤失量和裂缝体积增大量之和,但这并不一定满足压裂施工的要求,因此,通常要求注入煤层的压裂液体积略高于滤失量,以降低压裂时出现砂堵的风险[11]。
延川南煤层气田已压裂井的资料统计结果表明,施工排量基本集中在6~8 m3/min。根据煤层压裂排量优化参考标准,确定延5-V1井组压裂施工排量为7~8 m3/min,以保证携砂性能并能压开适宜的割理裂隙。
5 现场应用2012年至今,延川南煤层气田共有3组V形水平井组进行了压裂,累计压裂29段,平均每段用液量881.0 m3、加砂量49.4 m3,压裂成功率90%。
目前,延5-V1井组产气量最高,平均日产气量超过6 000 m3。延5-V1井组共压裂8段,延5-V1-P1井压裂5段,延5-V1-P2井压裂3段,累计注入压裂液7 200 m3,加入支撑剂492 m3。该井组的具体施工参数见表 3。
| 井号 | 段数 | 水平段长度/m | 总液量/m3 | 砂量/m3 | 排量/(m3·min-1) |
| 延5-V1-P2 | 1 | 68 | 534.8 | 22 | 7.41 |
| 2 | 100 | 700.3 | 59 | 7.00 | |
| 3 | 100 | 895.8 | 68 | 7.00 | |
| 延5-V1-P1 | 1 | 100 | 594.8 | 35 | 7.00 |
| 2 | 120 | 746.9 | 55 | 6.88 | |
| 3 | 120 | 1 120.8 | 67 | 7.00 | |
| 4 | 120 | 1 141.2 | 86 | 7.00 | |
| 5 | 120 | 1 144.6 | 100 | 5.35 |
由表 3可知,V形水平井组的压裂规模从趾端到根部是逐渐增大的。裂缝监测显示,已压裂的V形水平井组未出现裂缝对穿,表明优化后的压裂工艺满足延川南煤层气V形水平井组压裂施工需求。
目前,延川南煤层气田V形水平井组从钻井到压裂平均总成本为1 135.4万元,而单口定向井从钻井到压裂的成本为200.0万元。V形水平井组目前平均日产气量为4 200 m3,而单口定向井平均日产气量为680 m3,且目前V形井井底流压普遍较高,产量继续呈现上升趋势。V形水平井组的投入产出比明显低于定向井,可提高延川南煤层气开发的经济效益。
6 结论及建议1) 延川南煤层气田V形水平井组采用套管完井,适合选用电缆泵送桥塞射孔联作方式进行分段压裂。
2) 延川南区块地层闭合压力较低,对支撑剂的强度要求不高,选择石英砂作为煤层压裂的支撑剂,同时采用变密度方法加入支撑剂,即可满足施工要求。
3) 延川南煤层气田V形水平井组每口水平井最优裂缝数为4~6条,缝间距100.00~120.00 m,最佳裂缝半长100.00~150.00 m。
4) 延川南煤层气田采用V形水平井组分段压裂技术,可解决产气量低、生产成本高和投资回收期长的问题。
| [1] | 杨力.延川南煤层气工区地层漏失特点及对策[J].中国煤层气,2011,8(3):8-10. YANG Li.Characteristics and counter-measures against loss of circulation in strata in Yanchuannan CBM work section[J].China Coalbed Methane,2011,8(3):8-10. |
| [2] | 路艳霞,张飞燕,吴英.延川南地区煤层气资源潜力分析[J].煤,2011,20(8):55-57,83. LU Yanxia,ZHANG Feiyan,WU Ying.Coalbed methane potential analysis in Yanchuan South District[J].Coal,2011,20(8):55-57,83. |
| [3] | 龙志平,袁明进,朱智超.延川南煤层气V型水平井组钻井关键技术研究[J].中国煤层气,2012,12(6):12-15. LONG Zhiping,YUAN Mingjin,ZHU Zhichao.Study on key drilling techniques on CBM V-type horizontal well grouping in Yanchuan South[J].China Coalbed Methane,2012,12(6):12-15. |
| [4] | 杜发勇,张恩仑,张学政,等.压裂施工中管路摩阻计算方法分析与改进意见探讨[J].钻采工艺,2002,25(5):41-43. DU Fayong,ZHANG Enlun,ZHANG Xuezheng,et al.The analysis and improvement of friction calculation method in fracturing operation[J].Drilling & Production Technology,2002,25(5):41-43. |
| [5] | 张高群,刘通义.煤层压裂液和支撑剂的研究及应用[J].油田化学,1999,16(1):17-20. ZHANG Gaoqun,LIU Tongyi.Hydrofracturing fluid and proppant for coalbed gas reservoirs:research and use[J].Oilfield Chemistry,1999,16(1):17-20. |
| [6] | 辛军,郭建春,赵金洲,等.砂泥岩交互储层支撑剂导流能力实验及应用[J].西南石油大学学报(自然科学版),2010,32(3):80-84. XIN Jun,GUO Jianchun,ZHAO Jinzhou,et al.Experimental study on and field appliance of proppant conductivity in alternating formations of sandstone and shale[J].Journal of Southwest Petroleum University(Science & Technology Edition),2010,32(3):80-84. |
| [7] | 张鹏.煤层气井压裂液流动和支撑剂分布规律研究[D].东营:中国石油大学(华东)石油工程学院,2011:42-45. ZHANG Peng.Fracturing fluid flow and proppant distributing law in CBM well[J].Dongying:China University of Petroleum(Huadong),School of Petroleum Engineering,2011:42-45. |
| [8] | 付玉,郭肖,龙华.煤层气储层压裂水平井产能计算[J].西南石油学院学报,2003,25(3):44-46. FU Yu,GUO Xiao,LONG Hua.Production method of fracturing horizontal well in coalbed gas[J].Journal of Southwest Petroleum Institute,2003,25(3):44-46. |
| [9] | 张洪,何爱国,杨风斌,等."U"型井开发煤层气适应性研究[J].中外能源,2011,16(12):33-36. ZHANG Hong,HE Aiguo,YANG Fengbin,et al.Study on the adaptability of the U-shape wells on developing the coalbed methane[J].Sino-Global Energy,2011,16(12):33-36. |
| [10] | CIPOLLA C L.Modeling production and evaluating fracture performance in unconventional gas reservoirs[J].Journal of Petroleum Technology,2009,61(9):84-90. |
| [11] | FALLAHZADEH S A H,SHADIZADEH R S,POURAFSHARY P.Dealing with the challenges of hydraulic fracture initiation in deviated-cased perforated boreholes[R].SPE 132797,2010. |


