" 复杂条件下疏松砂岩油藏动态出砂预测研究
复杂条件下疏松砂岩油藏动态出砂预测研究
董长银1, 张清华1, 崔明月2, 王鹏2, 高彦才3, 李效波3    
1. 中国石油大学(华东)石油工程学院, 山东青岛 266580;
2. 中国石油勘探开发研究院廊坊分院, 河北廊坊 065007;
3. 中海油田服务股份有限公司油田生产事业部, 天津 300450
摘要:静态出砂预测没有考虑地层压力、含水饱和度和地层温度等变化对出砂临界条件的影响,导致开发过程中出砂预测结果与实际偏差较大。为了研究动态因素对出砂条件的影响规律,根据试验结果拟合岩石强度含水饱和度的变化规律,含水饱和度由0.15变为0.50时,储层岩石强度下降幅度可达60%左右;考虑地层压力下降对近井地应力的影响,以及温度变化导致的储层热应力改变,建立了稠油热采储层动态出砂临界条件的预测方法。渤海油田注多元热流体油井数据分析表明,储层出砂临界压差随着地层压力下降和温度升高以类似于指数式规律降低,在早期变化较快,然后下降速度逐步变缓;出砂临界压差随含水饱和度和含水率的升高以接近线性的规律降低。研究表明,注热开采稠油油藏出砂风险最大的时期为注热—焖井—生产的转换阶段,即转生产的初期,此时应逐步缓慢提高产量到正常产量。
关键词疏松砂岩    稠油热采    动态出砂预测    岩石强度    出砂临界压差    热应力    
A Dynamic Sanding Prediction Model for Unconsolidated Sandstone Reservoirs with Complicated Production Conditions
Dong Changyin1, Zhang Qinghua1, Cui Mingyue2, Wang Peng2, Gao Yancai3, Li Xiaobo3    
1.School of Petroleum Engineering, China University of Petroleum (Huadong), Qingdao, Shandong, 266580, China;
2. Langfang Branch, PetroChina Research Institute of Petroleum Exploration and Development, Langfang, Hebei, 065007, China;
3.Oil Production Division, China Oilfield Services Limited, Tianjin, 300450, China
Abstract:Static sanding prediction models overlook the effect of reservoir pressure, water cut, water saturation and reservoir temperature on critical sanding conditions, so some differences resulted between the predicted sanding result and the practical one in the production process. In this paper, studies were performed on the influential law of dynamic factors on sanding conditions. First, the variation rules of rock strength and water saturation were fitted on the basis of experimental results. They indicated that the rock strength would decrease up to 60% with water saturation increasing from 0.15 to 0.50.
Second, a dynamic prediction method was developed for critical sanding conditions in heavy-oil thermal production reservoirs by investigating the effect of reservoir pressure decrease on near wellbore stresses and the variation of reservoir thermal stress variation induced from temperature variation. And finally, an analysis was conducted on the data of injected with multiple thermal fluids of oil wells in Bohai Bay. It indicates that critical sanding pressure drawdown (CSPD) drops with the decrease of reservoir pressure and the increase of reservoir temperature can be represented by by approximate exponential law. It decreases faster in the early stages and gradually slows down. CSPD also decreases with the increase of water cut or water saturation and approximates a linear rule. For heavy oil reservoirs with thermal production, the most potential sanding is in the transitional stage of heat injection, soaking and production, i.e. the initial transitional stage to production. The production rate should be increased gradually to normal levels in this stage.
Key words: unconsolidated sandstone    heavy oil thermal recovery    dynamic sanding prediction    rock strength    critical sanding pressure drawdown    thermal stress    

在疏松砂岩油气藏临界出砂条件预测时,一般首先计算弹性变形条件下的近井地带应力分布规律,然后使用特定的岩石破坏准则判断应力状态以及地层破坏出砂情况[1, 2, 3]。由于近井地应力与井底流压有关[1, 4],因此对岩石破坏准则方程取等式并求解,即可得到临界出砂条件下的井底流压和生产压差[1, 3, 5]。上述预测过程中,近井地带岩石的强度参数是重要基础数据。目前,一般使用岩心的岩石力学试验资料或根据测井资料计算得到岩石强度参数[6],进行出砂规律预测[3, 4, 7]。实际上,测井资料及岩心测试资料仅代表油田开发初期的储层物性,依此得到的出砂规律仅代表油藏开发初期的地层出砂条件[8],这种预测称为静态出砂预测,其结果仅反映开发初期出砂规律。目前国内外关于储层出砂预测多集中在静态预测[1, 2, 3, 4, 5, 6, 7, 8, 9, 10, 11],动态预测仅限于定性出砂预测[12]

生产实践表明,疏松砂岩油藏出砂临界压差和产量是随着地层压力下降、含水饱和度上升以及热采过程中的地层温度变化而变化的。笔者据此提出了动态出砂预测的概念,即根据压力、含水饱和度和温度等动态生产条件进行出砂规律预测,以典型的含水稠油热采油藏为例,研究建立了油藏动态出砂临界条件的预测模型与方法,并利用典型注热开采油藏数据进行了动态出砂规律分析。

1 动态出砂临界条件预测模型 1.1 生产条件对出砂预测参数的影响机制

根据静态出砂临界压差预测模型[1, 2, 3, 4, 5, 6, 7, 8, 9, 10, 11],储层岩石强度、原始地层主应力和孔隙流体压力是进行静态出砂临界压差预测的必要参数和条件。生产过程中油井动态复杂条件会对上述参数产生影响,具体复杂条件及其影响机制为:

1) 含水率或含水饱和度上升导致岩石强度降低。对于一般边底水油藏,开采的过程也是储层岩石含水率和含水饱和度上升的过程。随着生产继续进行,地层产水增加,意味着近井地带岩石含水饱和度增加。研究表明,初始含水饱和度较低的岩石随着含水饱和度升高,水对岩石浸泡的物理化学作用使岩石强度降低[13, 14, 15, 16, 17],出砂加剧。

2) 储层压力变化影响孔隙压力和有效地应力。储层压力下降或上升,不但直接影响储层多孔介质孔隙流体压力,而且影响地层有效主应力[1](有效主应力等于上覆岩层产生的主应力减去孔隙压力),进而影响出砂临界生产压差,使之产生动态变化。

3) 储层温度变化产生热应力影响地层有效应力。稠油热采注入蒸汽温度一般达300~350 ℃,较大的温度变化会使受围岩作用的储层岩石产生附加热应力,从而影响地层有效应力,改变原有的岩石破坏临界条件,影响出砂临界生产压差。

1.2 含水饱和度对岩石强度的影响规律

疏松砂岩油藏开发过程中,随着地层水的产出,储层岩石的毛细管压力、胶结状况等发生变化,最终表现为岩石强度降低。室内试验和现场经验都表明,地层含水饱和度变化对疏松砂岩油气藏岩石强度以及出砂临界条件的影响不可忽略[7, 12, 13, 14, 15]。工程实践表明,砂岩岩石遇水后抗拉强度会有一定程度的降低,岩石遇水软化后仍具有一定的抗拉强度。不同研究人员[12, 13, 14, 15]对粉砂岩、细砂岩和中砂岩进行了不同饱和水时间的抗拉强度测试,按照给定的含水饱和度饱和多个相同岩心,测量饱和水后不同时间的岩心强度,得到砂岩不同饱和水时间的抗拉强度测试结果(见图 1)。

图 1 砂岩不同饱和水时间的抗拉强度测试结果 Fig.1 Tensile strength of sandstones with different water saturating time

图 1表明,对于疏松砂岩原始含水饱和度较低的岩石,一旦水淹后,岩石的抗拉强度会明显降低;随着饱和水时间延长,岩石抗拉强度在初期降低较快,其后降低减缓,最后趋于稳定,基本不再变化。

为了得到饱和水后岩石抗拉强度与饱和水时间的经验关系,将图 1中粉砂岩、细砂岩和中砂岩的抗拉强度无量纲化为抗拉强度比(饱和水后的岩石抗拉强度与初始抗拉强度的比值),得到3种砂岩的抗拉强度比与饱和水时间的关系(见图 2)。

图 2 抗拉强度比与饱水时间关系曲线 Fig.2 Relationship of dimensionless tensile strength ratio and water saturating time

图 2可以看出,3种砂岩的抗拉强度比变化规律相似,早期抗拉强度比下降较快,之后变缓并趋于稳定,100 d时稳定在原始抗拉强度比的40%左右。将3种砂岩的抗拉强度比取平均值,拟合得到抗拉强度比与饱和水时间的变化关系:

式中:kt为抗拉强度比;kt min为饱和水后最终状态下的抗拉强度比(图 2的试验结果中kt min约为0.4);t为饱和水时间,d;α为拟合系数(根据图 2的试验结果拟合得到α=-0.015)。

综合不同研究人员[12, 13, 14, 15]对砂岩岩样进行的不同含水饱和度下的抗压强度比(给定含水饱和度下的抗压强度与初始含水饱和度下的抗压强度的比值)测试研究成果,得到图 3。从图 3可以看出,砂岩岩石的抗压强度比随岩石含水饱和度的增大而迅速减小,然后逐步变缓,直到稳定。

图 3 砂岩抗压强度比随含水饱和度变化试验结果 Fig.3 Relationship of compressive strength ratio and water saturation

图 3中的抗压强度比与含水饱和度的试验数据进行拟合,得到如下经验相关式:

式中:kc为抗压强度比;kc min为饱和水后最终状态下的抗压强度比(图 3的试验结果中kc min约为0.2);Swi为岩心初始含水饱和度;Sw为岩心含水饱和度;β为拟合系数(根据图 3的试验结果拟合得到β=-3.98)。

综合不同研究人员[12, 13, 14, 15]对砂岩岩样进行的不同含水饱和度下和弹性模量比(给定含水饱和度下的弹性模量与初始含水饱和度下的弹性模量的比值)测试研究成果,得到图 4。从图 4可以看出,砂岩岩石的弹性模量比随岩石含水饱和度的增加而迅速减小,然后逐步变缓,直到稳定,其变化规律与抗压强度比非常相似。

图 4 砂岩弹性模量比随含水饱和度变化试验结果 Fig.4 Relationship of Young’s modulus ratio and water saturation

图 4所示的弹性模量比与含水饱和度的试验数据进行拟合,得到如下经验相关式:

式中:kE为弹性模量比;kE min为饱和水后最终状态下的弹性模量比(图 4的试验结果中kE min约为0.3);λ为拟合系数(根据图 4的试验结果拟合得到λ=-3.76)。

对于含水饱和度变化的岩心,其他岩石强度参数变化的处理方法为:泊松比和内摩擦角维持不变,内聚强度根据其余抗压强度和抗拉强度的经验关系式计算得到[8, 15, 16]。一般油井现场容易得到的产水表征参数为含水率,根据含水率和相渗关系曲线可计算近井地带储层的含水饱和度。

式(1)、式(2)和式(3)表示不同含水饱和度和饱和水时间下的岩石强度计算经验模型,首先根据储层初始含水饱和度和目前的含水饱和度计算当前岩石强度参数,然后利用常规静态出砂临界压差预测方法[8, 9, 10, 11],即可计算当前含水饱和度条件下的出砂临界压差。

1.3 考虑储层压力的原地主应力计算

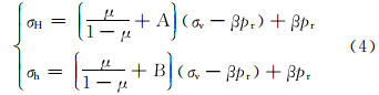
垂向主应力是由上覆岩层的重力引起的,随地层岩石密度和深度的变化而变化,可以根据密度测井资料计算得到[1, 8]。最大水平主应力和最小水平主应力可根据垂向主应力计算得到。由于油气储层为含油气流体的多孔介质,采用考虑孔隙流体压力和Biot效应的黄荣樽模型[1, 8, 11, 12]计算水平主应力:

式中:A,B分别为最大、最小水平构造应力系数;σHσh分别为最大、最小水平主应力,MPa;μ为岩石泊松比;β为Biot数;pr为地层孔隙压力,MPa。

将式(4)中的储层孔隙压力pr替换为当前储层压力,进一步计算近井地应力分布,然后使用静态出砂临界压差预测方法[8, 9, 10, 11]即可预测当前储层压力条件下的动态出砂临界压差。

1.4 储层热应力计算及其对出砂临界压差的影响

稠油热采井在注入、焖井和生产的过程转换中,储层尤其是近井地带温度变化较大,会产生储层热应力。油井注热过程中,井筒围岩受到蒸汽(或其他热流体)直接或间接加热的影响,温度比近井地带地层温度要高很多,近井地带地层温度又显著高于远井地带;但井壁围岩受到温度较低的外部地层限制,不能自由膨胀,所以在井筒围岩处就会产生压应力,而外部地层就会产生拉应力。

对于垂直井,整个储层与井眼轨迹轴线相垂直,假设储层内岩性均质性较好,储层热应力的求解可简化为空心圆盘热应力的求解。热应力计算公式为[16, 17, 18]

式中:σrσθ分别为井筒周围沿径向和切向的热应力,MPa;α为储层岩石的线热胀系数,℃-1E为岩石的弹性模量,MPa;T为地层距井轴线距离r处注热前后的温差,℃;rrwre分别为求解点距井轴线的距离、井眼半径和供给半径,m。

热应力改变近井地应力状态,进而影响出砂临界压差。首先根据式(5)计算出储层热应力变化值,然后叠加原始温度条件下的近井地应力后得到考虑储层温度变化的地应分布,即可预测得到考虑温度变化的出砂临界压差。

2 动态出砂预测结果分析

渤海油田某稠油疏松砂岩油藏采用注多元热流体开采,储层初始地层压力9.2 MPa,地层温度52.1 ℃,渗透率0.25 D,孔隙度27.4%,初始含水饱和度0.15;定向井井眼直径215.9 mm,注入热流体温度265~270 ℃,注入压力16.5 MPa。根据测井资料计算得到的储层岩石原始泊松比0.263 7,弹性模量4 260.3 MPa,抗压强度11.77 MPa,抗拉强度1.97 MPa,内聚强度1.54 MPa,内摩擦角26.76°;最大、最小水平构造应力系数取0.84和0.37。该井连续注热30 d,焖井3 d后开井自喷生产。

2.1 出砂临界生产压差随地层压力的动态变化

在储层原始温度和压力条件下,利用静态出砂预测模型预测得到储层初始出砂临界压差为1.50 MPa。在油藏温度不变条件下,利用动态出砂预测方法计算得到储层出砂临界压差随地层压力的变化关系曲线(见图 5)。

图 5 储层出砂临界压差随地层压力的变化 Fig.5 Relationship of critical sanding pressure drawdown (CSPD) and reservoir pressure

图 5可以看出,出砂临界生产压差随着地层压力的降低以类似于指数形式的规律减小;并且随着地层压力降低,出砂临界压差降低的速度逐渐变缓。地层压力由初始的9.20 MPa降至8.00 MPa时,出砂临界压差降低为1.35 MPa;当地层压力降至6.00 MPa时,出砂临界压差降至1.25 MPa。由于地层压力下降,岩石骨架承受的有效应力增加,造成储层出砂临界压差明显降低。

2.2 出砂临界生产压差随含水饱和度的动态变化

计算得到储层原始压力和温度条件下的出砂临界压差随含水率和含水饱和度的变化关系曲线(见图 6)。从图 6可以看出,储层出砂临界压差随着含水饱和度和含水率的上升而减小,其变化规律接近于线性递减形式。当含水饱和度由原始的0.15升至0.50时,出砂临界压差由1.50 MPa降至1.25 MPa,其影响规律敏感程度与储层岩石的相渗曲线以及初始含水饱和度有关。初始含水饱和度越低,后期岩石强度对水的敏感性越高,岩石强度及出砂临界生产压差随着含水饱和度增加下降越明显。

图 6 储层出砂临界压差随含水率和含水饱和度的变化 Fig.6 Relationship of CSPD vs. water cut and water saturation under reservoir conditions
2.3 出砂临界生产压差随地层温度的动态变化

由储层热应力计算分析可得储层出砂临界压差随地层温度的动态变化关系(见图 7)。从图 7可以看出,出砂临界压差随着地层温度的升高而降低,随着温度的升高,出砂临界压差降低的速度变缓。当地层温度由原始的52.1 ℃上升到240.0 ℃时,出砂临界压差由1.50 MPa下降到0.85 MPa。

图 7 储层出砂临界压差随地层温度的变化 Fig.7 Relationship of CSPD and reservoir temperature

该井连续以144~199 t/d的速度注多元热流体30 d后,焖井3 d,然后连续自喷生产,模拟计算得到井底近井地带温度压力随时间的变化情况。在此基础上,利用动态出砂预测方法,计算得到整个注热—焖井—生产过程中的地层出砂临界压差随时间的变化规律(见图 8)。

图 8 注热—焖井—生产全阶段储层出砂临界压差随时间变化规律模拟结果 Fig.8 Simulated relationship of CSPD and time in the whole process of injection-soak-production

图 8可以看出,随着注热继续进行,地层温度升高,出砂临界压差降至0.85 MPa,出砂风险增大,实际注入过程中油井即使不出砂也可能发生塑性破坏。在生产阶段,温度逐步降低,出砂临界压差逐步升高,从0.85 MPa逐渐恢复到1.20 MPa以上。

以上研究表明,最容易发生出砂的时段是注热转生产的初始阶段。因此,建议在注热转生产阶段初期应首先使用较低的工作制度生产,之后逐步加大油嘴,增大产量到正常配产。

3 结论与建议

1) 试验结果表明,随着含水饱和度升高及饱和水时间的延长,疏松砂岩岩石强度在初始阶段明显降低,然后趋于平缓和稳定。

2) 随着地层压力下降、储层温度升高储层出砂临界压差以类似于指数式的规律降低,早期变化较快,随后下降速度逐步变缓;出砂临界压差随含水饱和度和含水率的升高以接近线性规律降低;油藏初始含水饱和度越低,出砂临界压差随其变化的敏感性越强。

3) 对于注热开采稠油油藏,出砂风险最大的时期为注热—焖井—生产的转换阶段,即转生产的初期,此时应缓慢逐步提高产量到正常产量。

4) 砂岩岩心含水饱和度对岩石强度的影响规律目前仅有部分试验研究,尚未进行除弹性模量、抗拉强度、抗压强度之外的其他力学参数的强度变化规律研究,建议在此方面进一步开展研究,提高储层动态出砂临界条件随产水的变化规律预测准确度。

参考文献
[1] 董长银.油气井防砂技术[M].北京:中国石化出版社,2009:29-40.
Dong Changyin.Oil & gas well sand control technology[M].Beijing:China Petrochemical Press,2009:29-40.
[2] 王艳辉,刘希圣.定向油气井出砂模型的建立与参数分析[J].石油大学学报:自然科学版,1995,19(增刊1):60-65.
Wang Yanhui,Liu Xisheng.Analysis on stress distribution in directional well and factors affecting on sand production[J].Journal of the University of Petroleum,China:Edition of Natural Science,1995,19(supplement 1):60-65.
[3] 董长银,张启汉,饶鹏.气井系统出砂预测模型研究及应用[J].天然气工业,2005,25(9):98-100.
Dong Changyin,Zhang Qihan,Rao Peng.Model of systematic sanding prediction and its application for gas wells[J].Natural Gas Industry,2005,25(9):98-100.
[4] 饶鹏,唐刚,董长银,等.以临界生产压差法进行涩北气田出砂预测研究[J].天然气勘探与开发,2005,28(2):32-34.
Rao Peng,Tang Gang,Dong Changyin,et al.Sebei Gas Field sanding prediction by critical producing pressure drop[J].Natural Gas Exploration & Development,2005,28(2):32-34.
[5] 王东辉,韩英.斜井临界生产压差预测[J].断块油气田,2008,15(6):102-104.
Wang Donghui,Han Ying.Prediction of critical drawdown pressure for inclined well[J].Fault-Block Oil & Gas Field,2008,15(6):102-104.
[6] 张锦宏.利用声波测井资料预测油井出砂的问题研究[J].江汉石油学院学报,2003,25(3):122-123.
Zhang Jinhong.Problems in predicting sand production with sonic logging data[J].Journal of Jianghan Petroleum Institute,2003,25(3):122-123.
[7] 董长银,王爱萍.出砂水平井近井塑性区出砂半径预测研究[J].中国矿业大学学报,2012,41(4):663-668.
Dong Changyin,Wang Aiping.Distribution of plastic stress near wellbore and prediction of sanding radius for sanding horizontal wells[J].Journal of China University of Mining & Technology,2012,41(4):663-668.
[8] 董长银.水平井防砂完井理论与技术[M].北京:中国石化出版社,2012:27-45.
Dong Changyin.Sand control completion theory and technology for horizontal wells[M].Beijing:China Petrochemical Press,2012:27-45.
[9] El-Sayed Abdel-Alim H,Alsughayer Ali A.A new concept to predict sand production from extended reach and horizontal wells[R].SPE 68134,2001.
[10] Dou Hongen,Hu Dandan,Cai Wenxin.Sand production prediction and the selection of completion methods for horizontal well in Intercampo Oilfield,Venezuela[R].SPE 93821,2005.
[11] Nouri Alireza,Vaziri Hans,Belhaj Hadi,et al.Comprehensive transient modeling of sand production in horizontal wellbores[R].SPE 84500,2007.
[12] 赵益忠,孙德旭,梁伟,等.考虑开发动态的定性经验出砂动态预测[J].石油钻采工艺,2013,35(5):67-70.
Zhao Yizhong,Sun Dexu,Liang Wei,et al.Research on qualitative experimental dynamic sanding prediction considering the development performance[J].Oil Drilling & Production Technology,2013,35(5):67-70.
[13] 孙强,姜春露,朱术云,等.饱水岩石水稳试验及力学特性研究[J].采矿与安全工程学报,2011,28(2):236-240.
Sun Qiang,Jiang Chunlu,Zhu Shuyun,et al.Water stability test and mechanical property of water saturated rocks[J].Journal of Mining & Safety Engineering,2011,28(2):236-240.
[14] 汪伟英,张公社,何海峰,等.毛管力与含水饱和度对岩石出砂的影响[J].中国海上油气:工程,2003,15(3):47-48.
Wang Weiying,Zhang Gongshe,He Haifeng,et al.The effect of capillary pressure and water saturation on sand production[J].China Offshore Oil and Gas:Engineering,2003,15(3):47-48.
[15] 王煜霞,许波涛.水对不同岩石声波速度影响的研究[J].岩土工程技术,2006,20(3):144-146.
Wang Yuxia,Xu Botao.Study on the water influence on the acoustic wave velocity of different rock[J].Geotechnical Engineering Technique,2006,20(3):144-146.
[16] 李静,林承焰,杨少春,等.套管-水泥环-地层耦合系统热应力理论解[J].中国石油大学学报:自然科学版,2009,33(2):63-69.
Li Jing,Lin Chengyan,Yang Shaochun,et al.Theoretical solution of thermal stress for casing-formation coupling system[J].Journal of China University of Petroleum:Edition of Natural Science,2009,33(2):63-69.
[17] 李维特,黄保海,毕仲波.热应力理论分析及应用[M].北京:中国电力出版社,2004:60-65.
Li Weite,Huang Baohai,Bi Zhongbo.Thermal stress theory and application[M].Beijing:China Electric Power Press,2004:60-65.
[18] 陈朝晖,谢一婷,邓勇.疏松砂岩油藏出砂应力敏感实验研究[J].石油钻探技术,2013,41(1):61-64.
Chen Zhaohui,Xie Yiting,Deng Yong.Experimental study on sanding stress sensitivity in unconsolidated sandstone reservoirs[J].Petroleum Drilling Techniques,2013,41(1):61-64.

文章信息

董长银, 张清华, 崔明月, 王鹏, 高彦才, 李效波
Dong Changyin, Zhang Qinghua, Cui Mingyue, Wang Peng, Gao Yancai, Li Xiaobo
复杂条件下疏松砂岩油藏动态出砂预测研究
A Dynamic Sanding Prediction Model for Unconsolidated Sandstone Reservoirs with Complicated Production Conditions
石油钻探技术, 2015, 43(06): 81-86
Petroleum Drilling Techniques, 2015, 43(06): 81-86.
http://dx.doi.org/10.11911/syztjs.201506015

文章历史

收稿日期:2015-04-14
改回日期:2015-11-14

相关文章

工作空间